Boas
Alguem me arranjava o anterior termo de responsabilidade pela execução ( RITA ).
Se alguem tiver agradeço.
Cumprimentos
MP
Termo responsabilidade
-
Mestreclima
- Velha Guarda

- Mensagens: 334
- Registado: 16 out 2011, 22:26
- Localização: Mealhada
- Enviou: 10 vezes
- Agradecimento recebido: 14 vezes
Re: Termo responsabilidade
Bom dia, quando pedes o termo tens um campo referente ao tipo de obra RITA, ITED 1 ou ITED II.
O termo é igual para todos os ensaios e métodos é que são diferentes.
O termo é igual para todos os ensaios e métodos é que são diferentes.
Cump.
Rochinha
Rochinha
Re: Termo responsabilidade
Boas
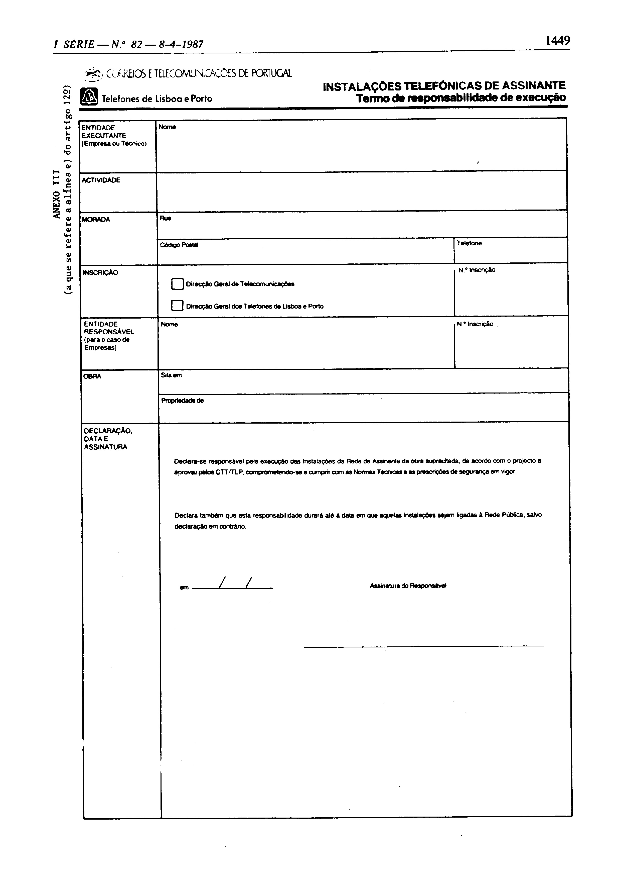
Mas eu pretendia era o anterior a 2004...ate ja o consegui mas esta muito sumido não se consegue ler o k la esta´...
Mas eu pretendia era o anterior a 2004...ate ja o consegui mas esta muito sumido não se consegue ler o k la esta´...
- Anexos
-
- rita.gif (13.9 KiB) Visto 1040 vezes
-
amfys
- Velha Guarda

- Mensagens: 607
- Registado: 11 abr 2008, 11:53
- Localização: Torres Vedras
- Agradecimento recebido: 4 vezes
Re: Termo responsabilidade
Conforme referido, o modelo do termo de responsabilidade a apresentar é o presentemente indicado pela ANACOM. As prescrições e especificações técnicas referidas no final do termo é que podem ser RITA, manual ITED – 1ª edição ou manual ITED – 2ª edição (RNG).
O modelo antigo já só serve para efeitos de coleccionismo ou falsificação.
O modelo antigo já só serve para efeitos de coleccionismo ou falsificação.
-
Mestreclima
- Velha Guarda

- Mensagens: 334
- Registado: 16 out 2011, 22:26
- Localização: Mealhada
- Enviou: 10 vezes
- Agradecimento recebido: 14 vezes
Re: Termo responsabilidade
amfys Escreveu:Conforme referido, o modelo do termo de responsabilidade a apresentar é o presentemente indicado pela ANACOM. As prescrições e especificações técnicas referidas no final do termo é que podem ser RITA, manual ITED – 1ª edição ou manual ITED – 2ª edição (RNG).
O modelo antigo já só serve para efeitos de coleccionismo ou falsificação.
Não posso estar mais de acordo.
Camarada "LAXIES" por favor não invente o que esta inventado, não tem custos e como no antigo só tem que ser instalador autorizado.
Como é que faz nos actuais projectos?
Cump.
Rochinha
Rochinha
-
Mestreclima
- Velha Guarda

- Mensagens: 334
- Registado: 16 out 2011, 22:26
- Localização: Mealhada
- Enviou: 10 vezes
- Agradecimento recebido: 14 vezes
Re: Termo responsabilidade
E ainda.....
Ainda lhe digo mais, não há nenhuma operadora que lhe peça certificado para instalar os serviços ( se o fizer por telefone).
Ainda lhe digo mais, não há nenhuma operadora que lhe peça certificado para instalar os serviços ( se o fizer por telefone).
Cump.
Rochinha
Rochinha
-
ENERGY
- Team Apoio

- Mensagens: 5620
- Registado: 18 fev 2009, 21:21
- Localização: Portugal de Norte a Sul
- Enviou: 28 vezes
- Agradecimento recebido: 208 vezes
Re: Termo responsabilidade
Boas
E esse serviço (modo de agir das diversas operadoras) não está sujeito a coima por parte da Anacom?
Pois alguns funcionários de empreiteiros ao serviço desses operadores, desligam algumas ligações de ATI´s Cemu´s, etc, e fazem as ligações como querem e lhes apetece, por vezes destruindo a boa imagem do instalador.
E esse serviço (modo de agir das diversas operadoras) não está sujeito a coima por parte da Anacom?
Pois alguns funcionários de empreiteiros ao serviço desses operadores, desligam algumas ligações de ATI´s Cemu´s, etc, e fazem as ligações como querem e lhes apetece, por vezes destruindo a boa imagem do instalador.
Mestreclima Escreveu:E ainda.....
Ainda lhe digo mais, não há nenhuma operadora que lhe peça certificado para instalar os serviços ( se o fizer por telefone).
Cpts.
Energy
Energy
